东莞仪器设备厂家直销: 恒温恒湿实验箱 高低温试验机验箱 盐雾腐蚀老化试验箱 等其他可靠性环境试验设备!

网站地图 在线留言 微信咨询 微信咨询

可靠性环境试验设备生产厂家仪器设备广泛应用于世界500强企业及各行各业

客户服务热线
158-9969-7899
您的位置: 首页 > 新闻动态 > 公司动态

圆盘耙试验方法

文章出处:网络 责任编辑:小编 发表时间:2026-04-08

圆盘耙试验方法

主题内容与适用范围

本标准规定了与拖拉机配套的旱田圆盘耙的田间性能试验和生产试验方法。

本标准适用于与拖拉机配套的旱田圆盘耙。

性能试验

2. 1 目的

通过性能试验,评定圆盘耙的作业质量是否满足当地的农业技术要求,并考核其性能是否达到设计要求。

2. 2 试验前的准备

2. 2. 1 试验样机应具有的文件

试验样机应具有质量合格证、使用说明书、试验大纲、技术任务书、图样及其他必备的技术文件。

2. 2. 2 样机在试验前应进行技术测定,并按使用说明书的规定进行使用、调整和保养。

2. 2. 3 拖拉机的技术状态应良好。

2. 2. 4 试验前,应对试验用的各种仪器进行校准和标定。

2. 2. 5 试验地应选择当地具有代表性的地块。调查试验地的地块大小、土壤类型、地表起伏、植被、前茬作物以及栽培方法等状况,记入表1

2. 2. 6 试验地应有足够的面积,其长度应不少于 100m。测区长度为50m,两端为稳定区。

2. 3 试验地状况测定

在测区两对角线上随机取样处。

2. 3. 1 植被情况:在灭茬(草)或以耙代耕的地块上进行。在测区内以 1m2 方框尺随机取样处,测定茬(草)的高度和密度,记入表1

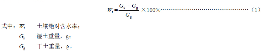
2. 3. 2 土壤绝对含水率的测定:在当日试验的测区内随机取样 处。

取样深度:耙深小于15cm 时取一层,深度为0~耙深;耙深大于15cm 时取两层,深度分别为0~10cm10cm~耙深。求出每一测点各层的平均含水率,并计算全耙深的平均含水率,记入表2。土壤绝对含水率按式(1)计算:

土壤绝对含水率按式(1)计算2. 3. 3 土壤坚实度的测定:在当日试验的测区(未耕地)随机选取 处,取样深度同第2.3.2 条。用坚实度仪测定每层及全耙深的土壤坚实度,计算平均值,也可采用专用仪器直接读数,记入表2