圆盘耙试验性能测定
一般应在最大偏角和常用偏角下对样机进行性能测定。
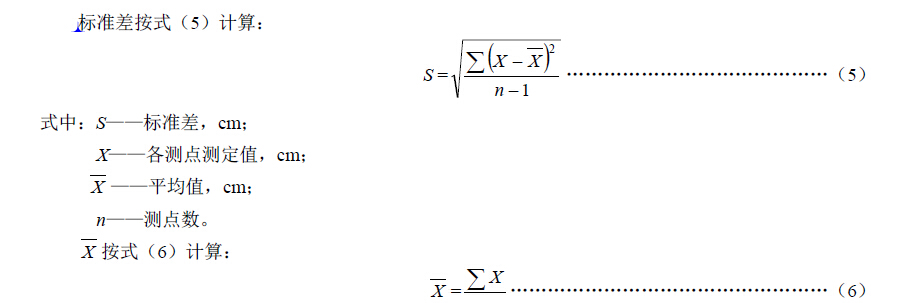
1 耙深和耙深稳定性测定:在测区内测量两个行程,每一行程测 4 处,共测8 处。机组在测点处停止,以耙列轴线为测量基准,在靠末耙地方位测量耙列两侧的入土深度,读数精度为0.5cm。根据测得数据,计算下列指标,并记入表3。
2
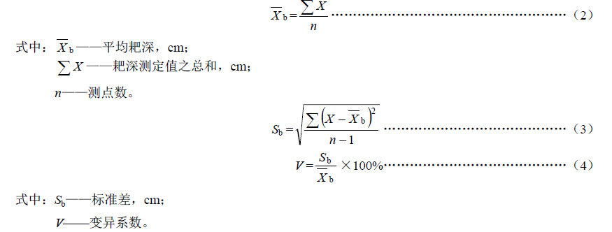
耙前、耙后地表平整度和耙后沟底平整度(耙茬地)的测定:在测区内沿耕作方向选取 3 处,测量每处耙前和耙后的地表平整度和耙后沟底的平整度,计算标准差,记入表4。

3 碎土程度测定:试验前、后(耙茬地只取试验后)在测区内随机取样5 处。每处取出0.4m×0.4m耙深层内的土样,以土块的长边计算,分别测出大于和小于(含等于)5cm 的土块重量及土块总重量,按式(7)计算碎土的百分数,记入表5。

4 灭茬(草)程度测定:在测区内随机取样 5 处,每处面积为1m2。按式(8)计算灭茬(草)程度的百分数,并记入表6。
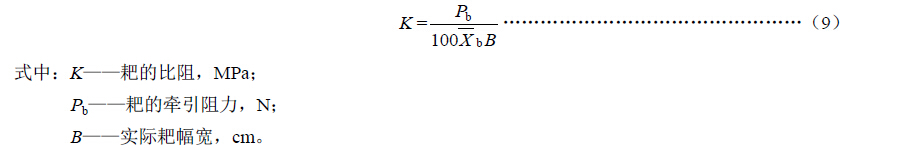
5 牵引阻力的测定:测量两个行程。用电测法或拉力仪直接测出耙的牵引阻力,计算平均值,并按式(9)计算耙的比阻,一并记入表8。
6 耙所消耗功率的计算:测出机组通过测区的时间(测量两个行程),按式(10)计算机组前进速度,记入表8。
式中:N——耙所消耗的功率,kW。
7 牵引力利用率的计算:按式(2)计算,记入表9。
生产试验
1 目的
通过大面积生产试验,考核样机结构的可靠性、作业适应性、使用经济性、调整保养方便性和易损件的使用寿命。
2 试验前的准备
3 检查样机的零、部件有无变形、损坏及其他缺陷。

4 试验后,应对易磨损件和易变形件再次进行测定,将结果记入表 12。
5 在整个试验过程中,应详细观察样机的作业质量,详细记录零、部件发生故障的类型、部位、原因和排除方法,记入表13,并对耙的使用可靠性进行评价,按式(17)计算:
式中:Kb——耙的有效度(使用可靠性);
ΣTz ——样机在生产考核期间的各班次作业时间的总和,h;
ΣTg ——样机在生产考核期间,各班次用于故障排除的时间的总和,h。
3. 7 通过对耙的调整和保养,综合比较调整保养的方便性。
编制试验报告
1 试验结束后,应将观察、测定和计算结果整理汇总,编制试验报告。
2 试验报告应有下述内容:
a.试验情况概述;
b.试验条件;
c.试验样机的技术特征(附照片);
d.试验结果和分析;
e.结论和建议。